Fanetizole
![]() | |
| Clinical data | |
|---|---|
| Other names | CP-48,810 |
| Pharmacokinetic data | |
| Protein binding | % |
| Identifiers | |
IUPAC name
| |
| CAS Number | |
| PubChem CID | |
| ChemSpider | |
| UNII | |
| CompTox Dashboard (EPA) | |
| Chemical and physical data | |
| Formula | C17H16N2S |
| Molar mass | 280.39 g·mol−1 |
| 3D model (JSmol) | |
SMILES
| |
InChI
| |
| (verify) | |
Fanetizole is a drug that has immunoregulating activity.[1]
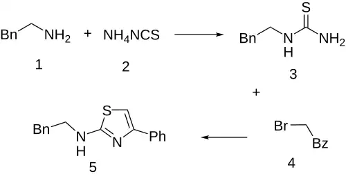
Synthesis
Reaction of β-phenethylamine (1) with ammonium thiocyanate (2) gives the thiourea (3). Treatment of that product with phenacyl bromide (4) produces fanetizole (5).[2]

References
- ↑ Rocklin RE, Hemady Z, Matloff S, Kiselis I, Lima M. Correction of an in vitro immunoregulatory defect in atopic subjects by the immunostimulating drug fanetizole mesylate (CP-48,810). Int J Immunopharmacol. 1984;6(1):1-8. doi: 10.1016/0192-0561(84)90028-6. PMID: 6233230.
- ↑ Joseph G. Lombardino, U.S. patent 4,307,106 (1981 to Pfizer Corp SRL).
- ↑ Pastre, Julio C.; Browne, Duncan L.; O’Brien, Matthew; Ley, Steven V. (2013). "Scaling Up of Continuous Flow Processes with Gases Using a Tube-in-Tube Reactor: Inline Titrations and Fanetizole Synthesis with Ammonia". Organic Process Research & Development. 17 (9): 1183–1191. doi:10.1021/op400152r.
- ↑ Lin, Pei-Ying; Hou, Rei-Sheu; Wang, Huey-Min; Kang, Iou-Jiun; Chen, Ling-Ching (2009). "Efficient Synthesis of 2-Aminothiazoles and Fanetizole in Liquid PEG-400 at Ambient Conditions". Journal of the Chinese Chemical Society. 56 (3): 455–458. doi:10.1002/jccs.200900068.
| H2 antagonists ("-tidine") | |
|---|---|
| Prostaglandins (E)/ analogues ("-prost-") | |
| Proton-pump inhibitors ("-prazole") |
|
| Potassium-competitive acid blockers ("-prazan") |
|
| Others | |
| Combinations | |
| |
| Phenethylamines |
| ||||||||||||||||
|---|---|---|---|---|---|---|---|---|---|---|---|---|---|---|---|---|---|
| Amphetamines |
| ||||||||||||||||
| Phentermines |
| ||||||||||||||||
| Cathinones |
| ||||||||||||||||
| Phenylisobutylamines (and further-extended) | |||||||||||||||||
| Catecholamines (and close relatives) |
| ||||||||||||||||
| Cyclized phenethylamines |
| ||||||||||||||||
| Related compounds |
| ||||||||||||||||
| |||||||||||||||||
This article is issued from WikiProjectMed. The text is available under Creative Commons Attribution-ShareAlike License unless otherwise noted. Additional terms may apply for the media files.
