Clemizole

Clemizole
Clinical data
Trade namesAllercur, Histacur
Other namesEPX-100
ATC code
  • None
Identifiers
IUPAC name
  • 1-[(4-Chlorophenyl)methyl]-2-(pyrrolidin-1-ylmethyl)benzimidazole
CAS Number
PubChem CID
ChemSpider
UNII
KEGG
ChEBI
ChEMBL
NIAID ChemDB
CompTox Dashboard (EPA)
ECHA InfoCard100.006.486
Chemical and physical data
FormulaC19H20ClN3
Molar mass325.84 g·mol−1
3D model (JSmol)
SMILES
  • Clc1ccc(cc1)Cn3c(nc2ccccc23)CN4CCCC4
InChI
  • InChI=1S/C19H20ClN3/c20-16-9-7-15(8-10-16)13-23-18-6-2-1-5-17(18)21-19(23)14-22-11-3-4-12-22/h1-2,5-10H,3-4,11-14H2
  • Key:CJXAEXPPLWQRFR-UHFFFAOYSA-N

Clemizole, sold under the brand names Allercur and Histacur, is a histamine H1 receptor antagonist of the benzimidazole group described as an antihistamine, antipruritic, and sedative which is no longer marketed.[1][2][3][4]

It is also a serotonin receptor agonist and is being studied for the potential treatment of Dravet syndrome, Lennox–Gastaut syndrome, and epilepsy under the development code name EPX-100.[5][4][6]

The drug was first described in the scientific literature by 1952.[1] Its serotonin receptor agonist and anticonvulsant properties were discovered in 2017.[5][4]

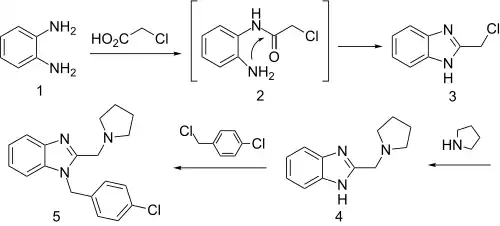
Synthesis

Benzimidazoles substituted with an alkylamine at position 2 have a venerable history as H1 antihistaminic agents. The standard starting material for many benzimidazoles consists of phenylenediamine, or its derivatives.

Clemizole synthesis:[7][8][9]

Reaction of that compound with chloroacetic acid can be rationalized by invoking initial formation of the chloromethyl amide. Imide formation with the remaining free amino group closes the ring to afford 2-chloromethyl benzimidazole (3). Displacement of halogen with pyrrolidine affords the alkylation product. The proton on the fused imidazole nitrogen is then removed by reaction with sodium hydride. Treatment of the resulting anion with α,4-dichlorotoluene gives the H1 antihistaminic agent clemizole (5).

See also

References

  1. 1 2 Elks J (2014). The Dictionary of Drugs: Chemical Data: Chemical Data, Structures and Bibliographies. Springer US. p. 288. ISBN 978-1-4757-2085-3. Retrieved 29 October 2024.
  2. Schweizerischer Apotheker-Verein (2004). Index Nominum: International Drug Directory. Medpharm Scientific Publishers. p. 291. ISBN 978-3-88763-101-7. Retrieved 29 October 2024.
  3. Morton IK, Hall JM (2012). Concise Dictionary of Pharmacological Agents: Properties and Synonyms. Springer Netherlands. p. 78. ISBN 978-94-011-4439-1. Retrieved 29 October 2024.
  4. 1 2 3 Griffin A, Hamling KR, Knupp K, Hong S, Lee LP, Baraban SC (March 2017). "Clemizole and modulators of serotonin signalling suppress seizures in Dravet syndrome". Brain. 140 (3): 669–683. doi:10.1093/brain/aww342. PMC 6075536. PMID 28073790.
  5. 1 2 Sills GJ (2023). "Pharmacological diversity amongst approved and emerging antiseizure medications for the treatment of developmental and epileptic encephalopathies". Ther Adv Neurol Disord. 16 17562864231191000. doi:10.1177/17562864231191000. PMC 10467199. PMID 37655228.
  6. "Clemizole - Epygenix Therapeutics/University of California at San Francisco". AdisInsight. 9 October 2024. Retrieved 29 October 2024.
  7. Jerchel D, Fischer H, Kracht M (1952). "Zur Darstellung der Benzimidazole". Justus Liebigs Annalen der Chemie. 575 (2): 162–173. doi:10.1002/jlac.19525750204.
  8. GB 703272, Schenck M, Heinz W, issued 1954, assigned to Schering AG
  9. US 2689853, Schenck M, Heinz W, issued 1954, assigned to Schering AG