Volinanserin

Volinanserin
Clinical data
Other namesMDL-100,907; M100907
ATC code
  • None
Identifiers
IUPAC name
  • (R)-(2,3-dimethoxyphenyl)-[1-[2-(4-fluorophenyl)ethyl]-4-piperidyl]methanol
CAS Number
PubChem CID
IUPHAR/BPS
ChemSpider
UNII
ChEMBL
CompTox Dashboard (EPA)
ECHA InfoCard100.123.797
Chemical and physical data
FormulaC22H28FNO3
Molar mass373.468 g·mol−1
3D model (JSmol)
SMILES
  • c3cc(F)ccc3CCN(CC2)CCC2C(O)c(c1OC)cccc1OC

Volinanserin (INN; developmental code MDL-100,907) is a highly selective 5-HT2A receptor antagonist that is frequently used in scientific research to investigate the function of the 5-HT2A receptor.[1][2][3] It was also tested in clinical trials as a potential antipsychotic,[4][5] antidepressant,[6] and treatment for insomnia but was never marketed.[7]

CNS Review:[8]

Synthesis

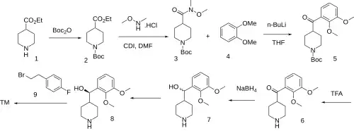
The synthesis of volinanserin has been reported.[9][10][11][12] Beginning with protection of ethyl isonipecotate (1) with Boc anhydride gives ethyl N-Boc-4-piperidinecarboxylate (2). Ester-amide interchange with N-methoxymethylamine HCl in the presence of carbonyldiimidazole (CDI) coupling agent gives 1-Boc-4-[methoxy(methyl)carbamoyl]piperidine (3). Weinreb ketone synthesis occurs upon benzoylation with 1,2-dimethoxybenzene (4) to give 1-Boc-4-(2,3-dimethoxybenzoyl)piperidine (5). Acid removal of the urethane protecting group gives (2,3-dimethoxyphenyl)-piperidin-4-ylmethanone (6). The reduction of the ketone with sodium borohydride leads to (2,3-dimethoxyphenyl)-piperidin-4-ylmethanol (7). Resolution of the alcohol gives (8). SN2 alkylation of the secondary nitrogen with 4-fluorophenethyl bromide (9) completes the synthesis of volinanserin (10).

Synthesis of volinanserin

See also

References

  1. Schmidt CJ, Fadayel GM, Sullivan CK, Taylor VL (November 1992). "5-HT2 receptors exert a state-dependent regulation of dopaminergic function: studies with MDL 100,907 and the amphetamine analogue, 3,4-methylenedioxymethamphetamine". European Journal of Pharmacology. 223 (1): 65–74. doi:10.1016/0014-2999(92)90819-P. PMID 1362159.
  2. Herth MM, Kramer V, Piel M, Palner M, Riss PJ, Knudsen GM, et al. (April 2009). "Synthesis and in vitro affinities of various MDL 100907 derivatives as potential 18F-radioligands for 5-HT2A receptor imaging with PET". Bioorganic & Medicinal Chemistry. 17 (8): 2989–3002. CiteSeerX 10.1.1.519.5663. doi:10.1016/j.bmc.2009.03.021. PMID 19329329.
  3. Nic Dhonnchadha BA, Fox RG, Stutz SJ, Rice KC, Cunningham KA (April 2009). "Blockade of the serotonin 5-HT2A receptor suppresses cue-evoked reinstatement of cocaine-seeking behavior in a rat self-administration model". Behavioral Neuroscience. 123 (2): 382–96. doi:10.1037/a0014592. PMC 3830454. PMID 19331461.
  4. Offord SJ, Wong DF, Nyberg S (August 1999). "The role of positron emission tomography in the drug development of M100907, a putative antipsychotic with a novel mechanism of action". Journal of Clinical Pharmacology. 39 (S1): 17S – 24S. doi:10.1002/j.1552-4604.1999.tb05933.x. PMID 10434243. S2CID 21311671.
  5. Charney DS, Nestler PS, Sklar P, Buxbaum JD (July 2013). Neurobiology of Mental Illness. OUP USA. p. 767. ISBN 9780199934959.
  6. Marek GJ, Martin-Ruiz R, Abo A, Artigas F (December 2005). "The selective 5-HT2A receptor antagonist M100907 enhances antidepressant-like behavioral effects of the SSRI fluoxetine". Neuropsychopharmacology. 30 (12): 2205–15. doi:10.1038/sj.npp.1300762. PMID 15886717.
  7. Teegarden BR, Al Shamma H, Xiong Y (2008). "5-HT(2A) inverse-agonists for the treatment of insomnia". Current Topics in Medicinal Chemistry. 8 (11): 969–76. doi:10.2174/156802608784936700. PMID 18673166.
  8. Schmidt, C. J., Kehne, J. H., Carr, A. A. (March 1997). "MDL 100,907: A Selective 5-HT 2A Receptor Antagonist for the Treatment of Schizophrenia". CNS Drug Reviews. 3 (1): 49–67. doi:10.1111/j.1527-3458.1997.tb00316.x.
  9. Németh K, Palkó R, Kovács P, Visy J (January 2014). "Development of novel chiral capillary electrophoresis methods for the serotonin receptor (5-HT2A) antagonist MDL 100,907 (volinanserin) and for its key intermediate compound". Journal of Pharmaceutical and Biomedical Analysis. 88: 579–583. doi:10.1016/j.jpba.2013.10.017. PMID 24216279.
  10. WO 1991018602, Carr AA, Kane JM, Hay DA, "(+)-α-(2,3-Dimethoxyphenyl)-1-[2-(4-fluorophenyl)ethyl]-4-piperidinemethanol", published 12 December 1991, assigned to Merrell Dow Pharmaceuticals Inc.
  11. Huang Y, Mahmood K, Mathis CA (1999). "An efficient synthesis of the precursors of [11C]MDL 100907 labeled in two specific positions". Journal of Labelled Compounds and Radiopharmaceuticals. 42 (10): 949–957. doi:10.1002/(SICI)1099-1344(199910)42:10<949::AID-JLCR253>3.0.CO;2-S.
  12. WO 1998004289, Blackburn TP, "Pharmaceutical composition containing a 5HT2c antagonist and a D2 antagonist", published 5 February 1998, assigned to SmithKline Beecham Ltd.