Linomide
![]() | |
| Clinical data | |
|---|---|
| ATC code | |
| Pharmacokinetic data | |
| Elimination half-life | 26-42 hours |
| Identifiers | |
IUPAC name
| |
| CAS Number | |
| PubChem CID | |
| DrugBank | |
| ChemSpider | |
| UNII | |
| KEGG | |
| ChEBI | |
| ChEMBL | |
| CompTox Dashboard (EPA) | |
| ECHA InfoCard | 100.163.758 |
| Chemical and physical data | |
| Formula | C18H16N2O3 |
| Molar mass | 308.337 g·mol−1 |
| 3D model (JSmol) | |
SMILES
| |
InChI
| |
| | |
Linomide (Roquinimex) is a quinoline derivative immunostimulant which increases NK cell activity and macrophage cytotoxicity. It also inhibits angiogenesis and reduces the secretion of TNF alpha.
Linomide has been investigated as a treatment for some cancers (including as adjuvant therapy after bone marrow transplantation in acute leukemia) and autoimmune diseases, such as multiple sclerosis[1][2] and recent-onset type I diabetes.[3] Several trials have been terminated due to serious cardiovascular toxicity.
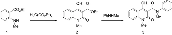
Synthesis

Ethyl 2-(methylamino)benzoate is condensed with ethyl malonate. Amine-ester interchange of that compound with N-methylaniline results in formation of the amide linomide.
References
- ↑ Weilbach EX, Hartung HP (August 1996). "[Immune modulation in multiple sclerosis: linomide]". Der Nervenarzt (in German). 67 (8): 701–5. doi:10.1007/s001150050044. PMID 8805117. S2CID 31845910.
- ↑ Hedlund G, Link H, Zhu J, Xiao BG (June 2001). "Effects of Linomide on immune cells and cytokines inhibit autoimmune pathologies of the central and peripheral nervous system". International Immunopharmacology. 1 (6): 1123–30. doi:10.1016/s1567-5769(01)00041-8. PMID 11407306.
- ↑ Gross DJ, Weiss L, Reibstein I, Hedlund G, Dahlén E, Rapoport MJ, Slavin S (June 2001). "The immunomodulator Linomide: role in treatment and prevention of autoimmune diabetes mellitus". International Immunopharmacology. 1 (6): 1131–9. doi:10.1016/s1567-5769(01)00042-x. PMID 11407307.
- ↑ EP 59698, Eriksoo, Edgar; Sandberg, Eva Britt-Marie & Stalhandsk, Lars Johan Torbjörn, "Heterocyclic carboxamides, compositions containing such compounds, processes for their preparation and methods of treatment therewith", published 1982-09-08, assigned to AB Leo; E. Eriksoo et al., U.S. patent 4,738,971 (1988 to AB Leo).
