Nitrafudam
![]() | |
| Identifiers | |
|---|---|
| CAS Number | |
| PubChem CID | |
| ChemSpider | |
| UNII | |
| ChEMBL | |
| Chemical and physical data | |
| Formula | C11H9N3O3 |
| Molar mass | 231.211 g·mol−1 |
| 3D model (JSmol) | |
SMILES
| |
InChI
| |
Nitrafudam is an antidepressant compound that was developed in the 1970-1980s.[1][2] It contains three functional groups: a nitrobenzene, a furan ring and an amidine.
Synthesis

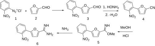
Azo coupling between 2-nitrophenyldiazonium chloride [119-66-4] (1) and furfural (2) leads to 5-(2-nitrophenyl)furfural [20000-96-8] (3). Treatment of the aldehyde with hydroxylamine gives the corresponding aldoxime (PC789659). Upon dehydration, FGI to the nitrile occurs [57666-58-7] (4). A Pinner reaction with anhydrous methanolic hydrogen chloride gives the corresponding imidate (imino-ether) [62821-40-3] (5). An addition-elimination reaction with ammonia causes FGI to an amidine, thus completing the synthesis of nitrafudam (6).
References
- ↑ Pong SF, Pelosi SS, Wessels FL, Yu CN, Burns RH, White RE, et al. (1983). "5-phenyl-2-furamidines: a new chemical class of potential antidepressants". Arzneimittel-Forschung. 33 (10): 1411–1416. PMID 6140016.
- ↑ US 3919231, Pelosi SS Jr, White RE, White RL Jr, Wright GC, You CN, issued 1975, assigned to Morton Norwich Products Inc
