Nimodipine

Nimodipine
Names
Trade namesNimotop, Nymalize, others
IUPAC name
  • 3-(2-Methoxyethyl) 5-propan-2-yl 2,6-dimethyl-4-(3-nitrophenyl)-1,4-dihydropyridine-3,5-dicarboxylate
Clinical data
Drug classCalcium channel blocker (dihydropyridine)
Main usesVasospasm due to subarachnoid hemorrhage[1]
Side effectsLow blood pressure, headache[1]
Pregnancy
category
  • AU: C[2]
  • US: C (Risk not ruled out)[2]
Routes of
use
Intravenous, by mouth
Onset of actionRapid[3]
Duration of action4 hrs[3]
Typical dose60 mg q4h[1]
External links
AHFS/Drugs.comMonograph
MedlinePlusa689010
Legal
License data
Legal status
Pharmacokinetics
Bioavailability13% (by mouth)
Protein binding95%
MetabolismLiver
Elimination half-life8–9 hours
ExcretionFeces and Urine
Chemical and physical data
FormulaC21H26N2O7
Molar mass418.446 g·mol−1
3D model (JSmol)
Melting point7 °C (45 °F)
SMILES
  • O=C(OC(C)C)\C1=C(\N/C(=C(/C(=O)OCCOC)C1c2cccc([N+]([O-])=O)c2)C)C
InChI
  • InChI=1S/C21H26N2O7/c1-12(2)30-21(25)18-14(4)22-13(3)17(20(24)29-10-9-28-5)19(18)15-7-6-8-16(11-15)23(26)27/h6-8,11-12,19,22H,9-10H2,1-5H3 checkY
  • Key:UIAGMCDKSXEBJQ-UHFFFAOYSA-N checkY

Nimodipine, sold under the brand name Nimotop among others, is a medication used to prevent vasospasm secondary to subarachnoid hemorrhage.[1] It is taken by mouth or by injection into a vein.[1][4] Onset is rapid with a duration of action of 4 hours.[3]

Common side effects include low blood pressure and headache.[1] Other side effects may include slow heart rate, ileus, and low platelets.[4] Safety in pregnancy is unclear.[5] It is a calcium channel blocker of the dihydropyridine type.[1]

Nimodipine was patented in 1971 and approved for medical use in Germany in 1985.[6][7] It was approved in the United States in 1988.[1] In the United Kingdom 100 tablets of 30 mg costs the NHS about £40.[4] This amount in the United States costs about 170 USD.[8]

Medical use

Because it has some selectivity for cerebral vasculature, nimodipine's main use is in the prevention of cerebral vasospasm and resultant ischemia, a complication of subarachnoid hemorrhage (a form of cerebral bleed), specifically from ruptured intracranial berry aneurysms irrespective of the patient's post-ictus neurological condition.[9] Its administration begins within 4 days of a subarachnoid hemorrhage and is continued for three weeks. If blood pressure drops by over 5%, dosage is adjusted. There is still controversy regarding the use of intravenous nimodipine on a routine basis.[10][11]

A 2003 trial (Belfort et al.) found nimodipine was inferior to magnesium sulfate in preventing seizures in women with severe preeclampsia.[12]

Nimodipine is not regularly used to treat head injury. Several investigations have been performed evaluating its use for traumatic subarachnoid hemorrhage; a systematic review of 4 trials did not suggest any significant benefit to the patients that receive nimodipine therapy.[13] There was one report case of nimodipine being successfully used for treatment of ultradian bipolar cycling after brain injury and, later, amygdalohippocampectomy.[14]

Dosage

The regular dosage is 60 mg tablets every four hours for 3 weeks.[1][15] If the patient is unable to take tablets by mouth, it was previously given via intravenous infusion at a rate of 1–2 mg/hour (lower dosage if the body weight is <70 kg or blood pressure is too low),[10] but since the withdrawal of the IV preparation, administration by nasogastric tube is an alternative.

Contraindications

Nimodipine is associated with low blood pressure, flushing and sweating, edema, nausea and other gastrointestinal problems, most of which are known characteristics of calcium channel blockers. It is contraindicated in unstable angina or an episode of myocardial infarction more recently than one month.

While nimodipine was occasionally administered intravenously in the past, the FDA released an alert in January 2006, warning that it had received reports of the approved oral preparation being used intravenously, leading to severe complications; this was despite warnings on the box that this should not be done.[16]

Side-effects

The FDA has classified the side effects into groups based on dosages levels at q4h. For the high dosage group (90 mg) less than 1% of the group experienced adverse conditions including itching, gastrointestinal hemorrhage, thrombocytopenia, neurological deterioration, vomiting, diaphoresis, congestive heart failure, hyponatremia, decreasing platelet count, disseminated intravascular coagulation, deep vein thrombosis.[9]

Pharmacokinetics

Absorption

After oral administration, it reaches peak plasma concentrations within one and a half hours. Patients taking enzyme-inducing anticonvulsants have lower plasma concentrations, while patients taking sodium valproate were markedly higher.[17]

Metabolism

Nimodipine is metabolized in the first pass metabolism. The dihydropyridine ring of the nimodipine is dehydrogenated in the hepatic cells of the liver, a process governed by cytochrome P450 isoform 3A (CYP3A). This can be completely inhibited however, by troleandomycin (an antibiotic) or ketoconazole (an antifungal drug).[18]

Excretion

Studies in non-human mammals using radioactive labeling have found that 40–50% of the dose is excreted via urine. The residue level in the body was never more than 1.5% in monkeys.

Mechanism of action

Nimodipine binds specifically to L-type voltage-gated calcium channels. There are numerous theories about its mechanism in preventing vasospasm, but none are conclusive.[19]

Nimodipine has additionally been found to act as an antagonist of the mineralocorticoid receptor, or as an antimineralocorticoid.[20]

Chemistry

Synthesis

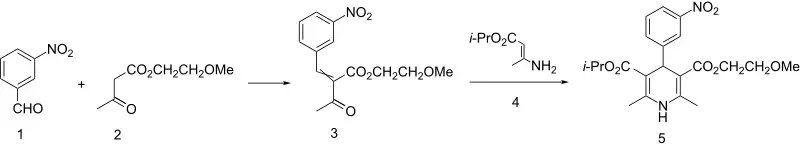
Dihydropyridine calcium channel blocker. Prepn: H. Meyer et al., DE 2117571 ; eidem, U.S. Patent 3,799,934 (1972, 1974 to Bayer).

The key acetoacetate (2) for the synthesis of nimodipine (5) is obtained by alkylation of sodium acetoacetate with 2-methoxyethyl chloride, Aldol condensation of meta-nitrobenzene (1) and the subsequent reaction of the intermediate with enamine (4) gives nimodipine.

Stereochemistry

Nimodipine contains a stereocenter and can exist as either of two enantiomers. The pharmaceutical drug is a racemate, an equal mixture of the (R)- and (S)- forms.[21]

Enantiomers of nimodipine

(R)-Nimodipine
CAS number: 77940-92-2

(S)-Nimodipine
CAS number: 77940-93-3

References

  1. 1.0 1.1 1.2 1.3 1.4 1.5 1.6 1.7 1.8 "Nimodipine Monograph for Professionals". Drugs.com. Archived from the original on September 21, 2021. Retrieved 13 November 2021. Archived 21 September 2021 at the Wayback Machine
  2. 2.0 2.1 "Nimodipine Use During Pregnancy". Drugs.com. 15 March 2019. Archived from the original on September 21, 2021. Retrieved 11 April 2020. Archived 21 September 2021 at the Wayback Machine
  3. 3.0 3.1 3.2 Frishman, William H.; Cheng-Lai, Angela; Chen, Julie (29 June 2013). Current Cardiovascular Drugs. Springer Science & Business Media. p. 161. ISBN 978-1-4615-6767-7. Archived from the original on November 13, 2021. Retrieved November 13, 2021. Archived November 13, 2021, at the Wayback Machine
  4. 4.0 4.1 4.2 BNF 81: March-September 2021. BMJ Group and the Pharmaceutical Press. 2021. p. 124. ISBN 978-0857114105.
  5. "Nimodipine Use During Pregnancy". Drugs.com. Archived from the original on September 21, 2021. Retrieved 13 November 2021. Archived 21 September 2021 at the Wayback Machine
  6. Fischer, Jnos; Ganellin, C. Robin (2006). Analogue-based Drug Discovery. John Wiley & Sons. p. 464. ISBN 9783527607495. Archived from the original on August 29, 2021. Retrieved October 15, 2021.
  7. Bayer AG of Germany (1971-04-10). "New molecular entity with antihypertensive properties" (Patent (Post-Approval)). UK Patent Office / EspaceNet Patent Search. British patent 1,358,951: Patent Office of the United Kingdom. p. GB1358951. Archived from the original on November 12, 2020. Retrieved 11 April 2019. Priority date: 1971-04-10 (...) Date issued: 1974-07-03{{cite web}}: CS1 maint: location (link) Archived 2020-11-12 at the Wayback Machine
  8. "Nimodipine Prices and Nimodipine Coupons - GoodRx". GoodRx. Retrieved 13 November 2021.
  9. 9.0 9.1 "FDA approved Labeling text. Nimotop (nimodipine) Capsules For Oral Use" (PDF). Food and Drug Administration. December 2005. Archived (PDF) from the original on March 15, 2010. Retrieved 2009-07-21. Archived 2010-03-15 at the Wayback Machine
  10. 10.0 10.1 Janjua N, Mayer SA (April 2003). "Cerebral vasospasm after subarachnoid hemorrhage". Curr Opin Crit Care. 9 (2): 113–9. doi:10.1097/00075198-200304000-00006. PMID 12657973. S2CID 495267.
  11. Allen GS, Ahn HS, Preziosi TJ, Battye R, Boone SC, Boone SC, et al. (March 1983). "Cerebral arterial spasm--a controlled trial of nimodipine in patients with subarachnoid hemorrhage". N. Engl. J. Med. 308 (11): 619–24. doi:10.1056/NEJM198303173081103. PMID 6338383.
  12. Belfort MA, Anthony J, Saade GR, Allen JC (January 2003). "A comparison of magnesium sulfate and nimodipine for the prevention of eclampsia". N. Engl. J. Med. 348 (4): 304–11. doi:10.1056/NEJMoa021180. PMID 12540643.
  13. Vergouwen MD, Vermeulen M, Roos YB (December 2006). "Effect of nimodipine on outcome in patients with traumatic subarachnoid haemorrhage: a systematic review". Lancet Neurol. 5 (12): 1029–32. doi:10.1016/S1474-4422(06)70582-8. PMID 17110283. S2CID 43488740.
  14. De León OA (February 2012). "Response to nimodipine in ultradian bipolar cycling after amygdalohippocampectomy". J Clin Psychopharmacol. 32 (1): 146–8. doi:10.1097/JCP.0b013e31823f9116. PMID 22217956.
  15. Borshoff, David (2018). The Resuscitation Crisis Manual. Leeuwin Press. ISBN 9780648270201.
  16. "Information for Healthcare Professionals: Nimodipine (marketed as Nimotop)". Food and Drug Administration. Archived from the original on July 22, 2017. Retrieved 2009-07-21. Archived 2017-07-22 at the Wayback Machine
  17. Tartara A, Galimberti CA, Manni R, Parietti L, Zucca C, Baasch H, Caresia L, Mück W, Barzaghi N, Gatti G (September 1991). "Differential effects of valproic acid and enzyme-inducing anticonvulsants on nimodipine pharmacokinetics in epileptic patients". Br J Clin Pharmacol. 32 (3): 335–40. doi:10.1111/j.1365-2125.1991.tb03908.x. PMC 1368527. PMID 1777370.
  18. Liu XQ, Ren YL, Qian ZY, Wang GJ (August 2000). "Enzyme kinetics and inhibition of nimodipine metabolism in human liver microsomes" (PDF). Acta Pharmacol. Sin. 21 (8): 690–4. PMID 11501176. Archived (PDF) from the original on July 8, 2011. Retrieved October 15, 2021. Archived July 8, 2011, at the Wayback Machine
  19. Rang, H. P. (2003). Pharmacology. Edinburgh: Churchill Livingstone. ISBN 0-443-07145-4.
  20. Luther JM (September 2014). "Is there a new dawn for selective mineralocorticoid receptor antagonism?". Curr. Opin. Nephrol. Hypertens. 23 (5): 456–61. doi:10.1097/MNH.0000000000000051. PMC 4248353. PMID 24992570.
  21. Rote Liste Service GmbH (Hrsg.): Rote Liste 2017 – Arzneimittelverzeichnis für Deutschland (einschließlich EU-Zulassungen und bestimmter Medizinprodukte). Rote Liste Service GmbH, Frankfurt/Main, 2017, Aufl. 57, ISBN 978-3-946057-10-9, S. 204.

External links

External sites:
Identifiers: