Glibornuride
![]() | |
| Names | |
|---|---|
| IUPAC name
N-{[(1R,2R,3S,4S)-2-Hydroxybornan-3-yl]carbamoyl}-4-methylbenzene-1-sulfonamide | |
| Systematic IUPAC name
N-{[(1S,2S,3R,4R)-3-Hydroxy-4,7,7-trimethylbicyclo[2.2.1]heptan-2-yl]carbamoyl}-4-methylbenzene-1-sulfonamide | |
| Identifiers | |
CAS Number |
|
3D model (JSmol) |
|
| ChemSpider | |
| DrugBank | |
| ECHA InfoCard | 100.043.735 |
| EC Number |
|
| KEGG | |
| MeSH | C073323 |
PubChem CID |
|
| UNII | |
CompTox Dashboard (EPA) |
|
InChI
| |
SMILES
| |
| Properties | |
Chemical formula |
C18H26N2O4S |
| Molar mass | 366.48 g/mol |
| Pharmacology | |
| A10BB04 (WHO) | |
Except where otherwise noted, data are given for materials in their standard state (at 25 °C [77 °F], 100 kPa).
Infobox references | |
Glibornuride (INN) is an anti-diabetic drug from the group of sulfonylureas.[1] It is manufactured by MEDA Pharma and sold in Switzerland under the brand name Glutril.[2]
Synthesis

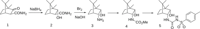
Gliburnide is an endo-endo derivative made from camphor-3-carboxamide by borohydride reduction (exo approach), followed by Hofmann rearrangement to carbamate, followed by displacement with sodium tosylamide.
References
- ↑ Haupt E, Köberich W, Beyer J, Schöffling K (December 1971). "Pharmacodynamic aspects of tolbutamide, glibenclamide, glibornuride and glisoxepide. I. Dose response relations and repeated administration in diabetic subjects". Diabetologia. 7 (6): 449–54. doi:10.1007/bf01212061. PMID 5004178.
- ↑ "Glutril — Drugs.com". Drugs.com. Archived from the original on 14 September 2016. Retrieved 12 July 2016.
- ↑ Bretschneider, H.; Hohenlohe-Oehringen, K.; Graßmayr, K. (1969). "Arylsulfonylureido- und Arylsulfonylamidoacyl-derivate von Oxy- und Oxo-cycloalkanen als potentielle Antidiabetica". Monatshefte für Chemie. 100 (6): 2133. doi:10.1007/BF01151769.
