Bilobalide
![]() | |
![]() | |
| Clinical data | |
|---|---|
| Routes of administration | By mouth |
| Legal status | |
| Legal status |
|
| Identifiers | |
IUPAC name
| |
| CAS Number | |
| PubChem CID | |
| IUPHAR/BPS | |
| ChemSpider | |
| UNII | |
| ChEBI | |
| ChEMBL | |
| CompTox Dashboard (EPA) | |
| ECHA InfoCard | 100.125.716 |
| Chemical and physical data | |
| Formula | C15H18O8 |
| Molar mass | 326.301 g·mol−1 |
| 3D model (JSmol) | |
SMILES
| |
InChI
| |
| | |
Bilobalide is a biologically active terpenic trilactone present in Ginkgo biloba.[1]
Chemistry
Bilobalide is a main constituent of the terpenoids found in Ginkgo leaves. It also exists in minor amounts in the roots. It is a sesquiterpenoid, i.e. it has a 15-carbon skeleton. Its exact synthesis pathway from farnesyl pyrophosphate is still unknown.
Biosynthesis
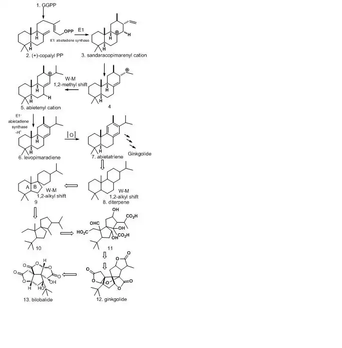
Bilobalide and ginkgolide have similar biosynthetic pathways. Bilobalide is formed by partially degraded ginkgolide. Bilobalide is derived from geranylgeranyl pyrophosphate (GGPP), which is formed by addition of farnesyl pyrophosphate (FPP) to an isopentenyl pyrophosphate (IPP) unit to form a C15 sesquiterpene. Such formation went through the mevalonate pathway (MVA) and methylerythritol phosphate MEP pathway. In order to generate bilobalide, C20 ginkgolide 13 must form first. To transform from GGPP to abietenyl cation 5, a single bifunctional enzyme abietadiene synthase E1 is required. However, due to the complexity of ginkgolide structures for rearrangement, ring cleavage, and formation of lactone rings, diterpene 8 is used to explain instead. Levopimaradiene 6 and abietatriene 7 are precursors for ginkgolide and bilobalide formation. The unusual tert-butyl substituent is formed from A ring cleavage in 9. Bilobalide 13 then formed in loss of carbons through degradation from ginkgolide 12, and lactones are formed from residual carboxyl and alcohol functions. The end product of bilobalide contains sesquiterpenes and three lactones units.[2]
Pharmacology
Bilobalide is important for producing several of the effects of Ginkgo biloba extracts, and it has neuroprotective effects,[3][4] as well as inducing the liver enzymes CYP3A1 and CYP1A2,[5] which may be partially responsible for interactions between ginkgo and other herbal medicines or pharmaceutical drugs. Bilobalide has recently been found to be a negative allosteric modulator at the GABAA and GABAA-rho receptors.[6] Of GABAA, it may possibly be selective for the subunits predominantly implicated in cognitive and memory functioning such as α1.
See also
- Ginkgolide
References
- ↑ van Beek TA, Montoro P (March 2009). "Chemical analysis and quality control of Ginkgo biloba leaves, extracts, and phytopharmaceuticals". Journal of Chromatography A. 1216 (11): 2002–2032. doi:10.1016/j.chroma.2009.01.013. PMID 19195661.
- ↑ Dewick PM (2009). Medicinal Natural Products: Products: A Biosynthetic Approach (Third ed.). West Sussex, England: Wiley&Sons. pp. 230–232. ISBN 978-0-470-74168-9.
- ↑ Defeudis FV (December 2002). "Bilobalide and neuroprotection". Pharmacological Research. 46 (6): 565–568. doi:10.1016/S1043-6618(02)00233-5. PMID 12457632.
- ↑ Kiewert C, Kumar V, Hildmann O, Hartmann J, Hillert M, Klein J (March 2008). "Role of glycine receptors and glycine release for the neuroprotective activity of bilobalide". Brain Research. 1201: 143–150. doi:10.1016/j.brainres.2008.01.052. PMID 18325484. S2CID 5191088.
- ↑ Deng Y, Bi HC, Zhao LZ, He F, Liu YQ, Yu JJ, et al. (May 2008). "Induction of cytochrome P450s by terpene trilactones and flavonoids of the Ginkgo biloba extract EGb 761 in rats". Xenobiotica; the Fate of Foreign Compounds in Biological Systems. 38 (5): 465–481. doi:10.1080/00498250701883233. PMID 18421621. S2CID 84019088.
- ↑ Johnston GA, Hanrahan JR, Chebib M, Duke RK, Mewett KN (2006). "Modulation of ionotropic GABA receptors by natural products of plant origin" (PDF). GABA. Advances in Pharmacology. Vol. 54. Elsevier. pp. 285–316. doi:10.1016/s1054-3589(06)54012-8. ISBN 978-0-12-032957-1. PMID 17175819. Archived from the original (PDF) on 9 November 2020. Retrieved 2024-05-04.
External links
Media related to Bilobalide at Wikimedia Commons

