Alacepril
![]() | |
| Clinical data | |
|---|---|
| AHFS/Drugs.com | International Drug Names |
| Routes of administration | Oral |
| ATC code |
|
| Legal status | |
| Legal status |
|
| Identifiers | |
IUPAC name
| |
| CAS Number | |
| PubChem CID | |
| ChemSpider | |
| UNII | |
| KEGG | |
| ChEMBL | |
| CompTox Dashboard (EPA) | |
| Chemical and physical data | |
| Formula | C20H26N2O5S |
| Molar mass | 406.50 g·mol−1 |
| 3D model (JSmol) | |
SMILES
| |
InChI
| |
| | |
Alacepril (INN) is an ACE inhibitor medication indicated as a treatment for hypertension. The medication metabolizes to captopril and desacetylalacepril.[1] Alacepril is primarily used to treat hypertension, and in some cases, renovascular hypertension. It's often combined with other medications, particularly other blood pressure lowering classes of medications like thiazide diuretics to maximize its effectiveness.[2]
Mechanism of action
In vivo, when alacepril undergoes deacetylation, it loses a molecule similar to the amino acid phenylalanine which transforms it into captopril.[3] Captopril then provides its blood pressure lowering effect through two ways. First, it inhibits the conversion of angiotensin 1, a precursor molecule, to angiotensin II, a vasoconstrictor that narrows blood vessels. Secondly, captopril prevents the breakdown of bradykinin, a vasodilator peptide that naturally relaxes blood vessels.[4]
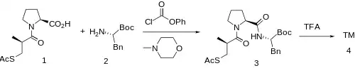
Synthesis

Amide formation between S-Acetylcaptopril [64838-55-7] (1) and (S)-tert-Butyl 2-amino-3-phenylpropanoate [16874-17-2] (2) gives PC86595505 (3). Deprotection with trifluoroacetic acid completed the synthesis of alacepril (4).
References
- ↑ "Alacepril". IBM Micromedex. 24 August 2010. Retrieved 23 June 2022.
- ↑ "Alacepril". DrugCentral online drug compendium. Retrieved 13 April 2024.
It is an angiotensin-converting enzyme (ACE) inhibitor with antihypertensive activity. It used for the treatment of essential or renovascular hypertension (usually administered with other drugs, particularly thiazide diuretics).
- ↑ Campese VM, Lakdawala RS (2017). "The Challenges of Blood Pressure Control in Dialysis Patients". In Nissenson AR, Fine RN (eds.). Handbook of dialysis therapy (5th ed.). Philadelphia, PA: Elsevier. pp. 603–626.e2. doi:10.1016/B978-0-323-39154-2.00053-9. ISBN 978-0-323-39154-2.
The sulfhydryl agents, such as alacepril, delapril, and moveltopril, are prodrugs and thus are converted to captopril in vivo. These sulfhydryl-containing compounds have a slower onset and longer duration of action than captopril.
- ↑ Odaka C, Mizuochi T (September 2000). "Angiotensin-converting enzyme inhibitor captopril prevents activation-induced apoptosis by interfering with T cell activation signals". Clinical and Experimental Immunology. 121 (3): 515–522. doi:10.1046/j.1365-2249.2000.01323.x. PMC 1905724. PMID 10971519.
- ↑ Castaer, J.; Mannhold, R.; Alacepril. Drugs Fut 1986, 11, 5, 357.
- ↑ Tadahiro Sawayama, et al. EP0007477 (1982 to Dainippon Pharmaceutical Co Ltd).
- ↑ Tadahiro Sawayama, et al. U.S. patent 4,248,883 (1981 to Dainippon Pharmaceutical Co Ltd).
- ↑ Nicoletta Almirante, et al. WO2004106300 (Nicox SA). Page 65.
- ↑ Ishikura, Minoru; Ohta, Tsukasa; Terashima, Masanao (1985). "A novel synthesis of 4-aryl- and 4-heteroarylpyridines via diethyl(4-pyridyl)borane". CHEMICAL & PHARMACEUTICAL BULLETIN. 33 (11): 4755–4763. doi:10.1248/cpb.33.4755.
External links
Media related to Alacepril at Wikimedia Commons
