Rimantadine
![]() | |
![]() | |
| Names | |
|---|---|
| Trade names | Flumadine |
IUPAC name
| |
| Clinical data | |
| Drug class | Adamantane[1] |
| Main uses | None[2] |
| Side effects | Nausea, trouble sleeping, dizziness[2] |
| Pregnancy category |
|
| Routes of use | By mouth |
| External links | |
| AHFS/Drugs.com | Monograph |
| MedlinePlus | a698029 |
| Legal | |
| Legal status |
|
| Pharmacokinetics | |
| Bioavailability | well absorbed |
| Protein binding | 40% |
| Metabolism | Liver hydroxylation and glucuronidation |
| Elimination half-life | 25.4 ± 6.3 hours |
| Excretion | Kidney |
| Chemical and physical data | |
| Formula | C12H21N |
| Molar mass | 179.307 g·mol−1 |
| 3D model (JSmol) | |
| Chirality | Racemic mixture |
SMILES
| |
InChI
| |
Rimantadine, sold under the brand name Flumadine, is an antiviral medication that was used to treat and prevent influenza A. [2] Due to the development of resistance such use is no longer generally recommended.[2] It is taken by mouth.[2]
Common side effects include nausea, trouble sleeping, and dizziness.[2] Other side effects may include seizures.[2] Safety in pregnancy is unclear.[3] It used to work by interfering with the M2 protein.[2]
Rimantadine was approved for medical use in the United States in 1993.[2] In the United States it costs about 23 USD for a week as of 2021.[4]
Medical use
Influenza A
Rimantadine inhibits influenza activity by binding to amino acids in the M2 transmembrane channel and blocking proton transport across the M2 channel.[5] Rimantadine is believed to inhibit influenza's viral replication, possibly by preventing the uncoating of the virus's protective shells, which are the envelope and capsid. The M2 channel is known to be responsible for viral replication in the influenza virus. Genetic studies suggest that the virus M2 protein, an ion channel specified by virion M2 gene, plays an important role in the susceptibility of influenza A virus to inhibition by rimantadine.
Rimantadine is bound inside the pore to amantadane specific amino acid binding sites with hydrogen binding and van der Waals interactions.[6] The ammonium group (with neighboring water molecules) is positioned towards the C terminus with the amantadane group is positioned towards the N-terminus when bound inside the M2 pore.

Influenza resistance
Resistance to rimantadine can occur as a result of amino acid substitutions at certain locations in the transmembrane region of M2. This prevents binding of the antiviral to the channel.[7]
The mutation S31N binding site with rimantadine is shown in the image to the left. It shows rimantadine binding into lumenal (top) or peripheral (bottom) binding sites with influenza M2 channel Serine 31 (gold) or Asparagine 31 (blue).
Rimantadine enantiomers interactions with M2
Rimantadine, when sold as flumadine, is present as a racemic mixture; the R and S states are both present in the drug. Solid state NMR studies have shown that the R enantiomer has a stronger binding affinity to the M2 channel pore than the S-enantiomer of rimantadine.[8] Antiviral assay and electrophysiology studies show that there is no significant difference between the R and S enantiomers in binding affinity to amino acids in the M2 channel.[9] Since the enantiomers have similar binding affinity, they also have similar ability to block the channel pore and work as an effective antiviral. Rimantadine enantiomers R and S are pictured interacting with the M2 pore below to the right. This image shows that there is not a significant modeled difference between the R and S enantiomers.
Parkinson's disease
Rimantadine, like its antiviral cousin amantadine, possesses some NMDA antagonistic properties and is used as an antiparkinsonic drug (i.e., in the treatment of Parkinson's disease). However, in general, neither rimantadine nor amantadine is a preferred agent for this therapy and would be reserved for cases of the disease that are less responsive to front-line treatments.
Other
Rimantadine is shown to be effective against other RNA-containing viruses. It can treat arboviruses like Saint Louis encephalitis and Sindbis. Other viruses that can be treated with Rimantadine include respiratory synctial and parainfluenza viruses.[10] Rimantadine has also been shown to treat chronic hepatitis C.[11]
Dosage
In adults it was taken at a dose of 100 mg twice per day for a week.[2]
Side effects
Rimantadine can produce gastrointestinal and central nervous system adverse effects. Approximately 6% of patients (compared to 4% of patients taking a placebo) reported side-effects at a dosage of 200 mg/d.[12] Common side effects include:
- nausea
- upset stomach
- nervousness
- tiredness
- lightheadedness
- trouble sleeping (insomnia)
- difficulty concentrating
- confusion
- anxiety
Rimantadine shows fewer CNS symptoms than its sister drug amantadine.[13]
Interactions
- Taking paracetamol (acetaminophen, Tylenol) or acetylsalicylic acid (aspirin) while taking rimantadine is known to reduce the body's uptake of rimantadine by approximately 12%.[14]
- Cimetidine also affects the body's uptake of rimantadine.
- Taking anticholigenic drugs with amantadine may increase underlying seizure disorders and aggravate congestive heart failure.[15]
History
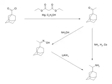
Rimantadine was discovered in 1963[16][17] and patented in 1965 in the US by William W. Prichard in Du Pont & Co., Wilmington, Delaware (patent on new chemical compound U.S. Patent 3,352,912, 1965 and on the first method of synthesis U.S. Patent 3,592,934, 1967).[18][19] Prichard's methods of synthesis of rimantadine from the corresponding ketone oxime were based on its reduction with lithium aluminum hydride.
Society and culture
Synthesis
The synthesis pictured to the left is a synthesis of rimantadine as synthesized in Europe.
1-carboxyadamatanones are reduced with sodium borohydride to create racemic hydroxy acid. Excess methyllithium is then added to create methyl ketones which when reduced with lithium aluminum hydride gives the amine group.[20]
Synonyms
1-(1-Adamantyl)ethanamine, 1-(Adamantan-1-yl)ethanamine, 1-(adamantan-1-yl)ethan-1-aminem, alpha-Methyl-1-adamantanemethylamine, alpha-Methyladamantanemethylamine, Rimantadine [INN:BAN], Rimantadinum [INN-Latin], 1-(1-Adamantyl)ethylamin, Remantadine, Rimantadina [INN-Spanish], 1-Adamantan-1-yl-ethylamine, RIMANTADIN, HSDB 7438, CHEMBL959, BRN 2715740, 1-Adamantanemethylamine, .alpha.-methyl-, .alpha.-Methyladamantanemethylamine, 1-(1-adamantyl)-ethylamine, 1-(tricyclo[3.3.1.1~3,7~]dec-1-yl)ethanamine, Riamantadine, Rimantadina, Rimantadinum, Tricyclo(3.3.1.13,7)decane-1-methanamine, alpha-methyl-, [1-(1-adamantyl)ethyl]amine hydrochloride, Tricyclo(3.3.1.1(sup 3,7))decane-1-methanamine, alpha-methyl-, 1-ADAMANTANEMETHYLAMINE, alpha-METHYL-, 1-Rimantadine, 887336-05-2, Tricyclo[3.3.1.13,7]decane-1-methanamine, a-methyl-, Rimant, 1-(1-adamantyl)ethylamine, Rimantadine (INN), Enamine_005755, NCGC00159491-02, Rimant & .alpha. IFN, Rimantadine (Flumadine), Rimantidine & .alpha.IFN, 1-Adamantan-1-ylethylamine, rimantidin, Rimantadin A, (R)-1-(Adamantan-1-yl)ethan-1-amine, 1-adamantanylethylamine, Maybridge1_002066, SCHEMBL2981, 1-tricyclo[3.3.1.1~3,7~]dec-1-ylethanamine, Oprea1_602732, SCHEMBL2619249, CHEMBL1201272, DTXSID2023561, SCHEMBL20409367, CHEBI:94440, CTK6A4437, HMS1410F13, HMS2090L19, HMS3604N13, HMS3655J05, 1-Adamantanemethylamine, ?-methyl-, ALBB-013870, BCP12269, HY-B0338, ZX-AN012619, ANW-72018, BBL013215, BDBM50216627, MFCD00869344, s1964, STK177253, (alpha-methyl-1-adamantyl)methylamine, AKOS000264537, AKOS006238592, AKOS016038537, .alpha.-Methyl-1-adamantanemethylamine, AM84461, API0024288, BBV-156986, CCG-236078, CS-2380, DB00478, FCH3207896, MCULE-9027470290, IDI1_007990, NCGC00159491-03, NCGC00159491-05, AK-58175, AS-68744, CC-34261, LS-15019, OR315791, SBI-0206810.P001, AB0012750, AX8049536, DB-042207, FT-0630403, H6325, ST45025920, SW220023-1, EN300-33990, C07236, D08483, Q421711-[(3R,5S,7s)-adamantan-1-yl]ethan-1-amine, AB00638368-09, AB00959689-03, AB01506092_02, AB01506092_03, 392R284, C-06592, BRD-A84282119-003-01-2, Z56757137, 1-(Tricyclo[3.3.1.1>3,7>]dec-1-yl)ethanamine (HCl), Tricyclo(3.3.1.1^3,7)decane-1-methanamine, .alpha.-methyl-, 1-(1-Adamantyl)ethylamine Hydrochloride;Rimantadine hydrochloride, Tricyclo(3.3.1.1(sup 3,7))decane-1-methanamine, .alpha.-methyl-, Tricyclo[3,3,1,1(3,7)]decane-1-methanamine, .alpha.-methyl-, Tricyclo(3.3.1.1^3,7)decane-1-methanamine, .alpha.-methyl- & IFN.alpha
See also
References
- ↑ "Antiviral medicines for pandemic influenza". Archived from the original on 12 August 2021. Retrieved 17 October 2021. Archived 12 August 2021 at the Wayback Machine
- ↑ 2.00 2.01 2.02 2.03 2.04 2.05 2.06 2.07 2.08 2.09 "RiMANTAdine Monograph for Professionals". Drugs.com. Archived from the original on 14 August 2021. Retrieved 17 October 2021. Archived 14 August 2021 at the Wayback Machine
- ↑ "Rimantadine (Flumadine) Use During Pregnancy". Drugs.com. Archived from the original on 29 October 2020. Retrieved 17 October 2021. Archived 29 October 2020 at the Wayback Machine
- ↑ "Rimantadine Prices, Coupons & Savings Tips - GoodRx". GoodRx. Retrieved 17 October 2021.
- ↑ Vorobjev YN (April 2020). "An effective molecular blocker of ion channel of M2 protein as anti-influenza A drug". Journal of Biomolecular Structure and Dynamics: 1–2. doi:10.1080/07391102.2020.1747550.
- ↑ Drakopoulos A, Tzitzoglaki C, Ma C, Freudenberger K, Hoffmann A, Hu Y, et al. (February 2017). "Affinity of Rimantadine Enantiomers against Influenza A/M2 Protein Revisited". ACS Medicinal Chemistry Letters. 8 (2): 145–150. doi:10.1021/acsmedchemlett.6b00311. PMC 5312807. PMID 28217261.
- ↑ Jing X, Ma C, Ohigashi Y, Oliveira FA, Jardetzky TS, Pinto LH, Lamb RA (August 2008). "Functional studies indicate amantadine binds to the pore of the influenza A virus M2 proton-selective ion channel". Proceedings of the National Academy of Sciences of the United States of America. 105 (31): 10967–72. Bibcode:2008PNAS..10510967J. doi:10.1073/pnas.0804958105. PMC 2492755. PMID 18669647.
- ↑ Wright AK, Batsomboon P, Dai J, Hung I, Zhou HX, Dudley GB, Cross TA (February 2016). "Differential Binding of Rimantadine Enantiomers to Influenza A M2 Proton Channel". Journal of the American Chemical Society. 138 (5): 1506–9. doi:10.1021/jacs.5b13129. PMID 26804976.
- ↑ Drakopoulos A, Tzitzoglaki C, Ma C, Freudenberger K, Hoffmann A, Hu Y, et al. (February 2017). "Affinity of Rimantadine Enantiomers against Influenza A/M2 Protein Revisited". ACS Medicinal Chemistry Letters. 8 (2): 145–150. doi:10.1021/acsmedchemlett.6b00311. PMC 5312807. PMID 28217261.
- ↑ Zlydnikov DM, Kubar OI, Kovaleva TP, Kamforin LE (1981-05-01). "Study of rimantadine in the USSR: a review of the literature". Reviews of Infectious Diseases. 3 (3): 408–21. doi:10.1093/clinids/3.3.408. PMID 7025146.
- ↑ Younossi ZM, Perrillo RP (1999). "The roles of amantadine, rimantadine, ursodeoxycholic acid, and NSAIDs, alone or in combination with alpha interferons, in the treatment of chronic hepatitis C". Seminars in Liver Disease. 19 Suppl 1: 95–102. PMID 10349697.
- ↑ "CDC - Influenza (Flu) | Antivirals: Side-Effects | REMOVED!". Archived from the original on 2008-11-21. Retrieved 2008-11-05. Archived 2008-11-21 at the Wayback Machine
- ↑ Zimmerman RK (March 2007). "Rationing of influenza vaccine during a pandemic: ethical analyses". Vaccine. 25 (11): 2019–26. doi:10.1016/j.vaccine.2006.11.045. PMID 17258359.
- ↑ "fda.gov". Archived from the original on June 30, 2005. Retrieved 2008-11-05. Archived 2005-06-30 at the Wayback Machine
- ↑ Zimmerman RK (March 2007). "Rationing of influenza vaccine during a pandemic: ethical analyses". Vaccine. 25 (11): 2019–26. doi:10.1016/j.vaccine.2006.11.045. PMID 17258359.
- ↑ "US patent 3352912 to W. W. Prichard" (PDF). Archived (PDF) from the original on 2021-08-02. Retrieved 2021-08-02. Archived 2021-08-02 at the Wayback Machine
- ↑ United States Patent № 4551552: Process for preparing rimantadine Archived 2020-08-06 at the Wayback Machine: Rimantadine and related compounds useful as antivirals were first described by Prichard in U.S. Pat. Nos. 3,352,912 and 3,592,934. Both patents describe the preparation of rimantadine from the corresponding ketone oxime by reduction with lithium aluminum hydride.
- ↑ "United States Patent № 4551552: Process for preparing rimantadine". Archived from the original on 2020-08-06. Retrieved 2021-08-02. Archived 2020-08-06 at the Wayback Machine
- ↑ Zlydnikov DM, Kubar OI, Kovaleva TP, Kamforin LE (1981). "Study of rimantadine in the USSR: a review of the literature". Reviews of Infectious Diseases. 3 (3): 408–21. doi:10.1093/clinids/3.3.408. PMID 7025146.
- ↑ Manchand PS, Cerruti RL, Martin JA, Hill CH, Merrett JH, Keech E, et al. (July 1990). "Synthesis and antiviral activity of metabolites of rimantadine". Journal of Medicinal Chemistry. 33 (7): 1992–5. doi:10.1021/jm00169a029. PMID 2362279.
External links
| Identifiers: |
|---|
- U.S. FDA press release announcing rimantadine's approval Archived 2008-05-05 at the Wayback Machine
- U.S. Center for Drug Evaluation and Research rimantadine description Archived 2005-06-30 at the Wayback Machine
- U.S. NIH rimantadine description Archived 2008-10-01 at the Wayback Machine
- U.S. CDC flu anti-viral treatment information Archived 2011-08-05 at the Wayback Machine

