Tioconazole
![]() | |
| Names | |
|---|---|
| Trade names | Vagistat-1, others |
| Other names | Thioconazole |
IUPAC name
| |
| Clinical data | |
| Drug class | Imidazole[1] |
| Main uses | Vaginal yeast infection, fungal nail infection[1][2] |
| Side effects | Burning, itching, headache[1] |
| Routes of use | Topical |
| External links | |
| AHFS/Drugs.com | Monograph |
| Legal | |
| Legal status |
|
| Chemical and physical data | |
| Formula | C16H13Cl3N2OS |
| Molar mass | 387.70 g·mol−1 |
| Chirality | Racemic mixture |
Tioconazole, sold under the brand names Vagistat among others, is an antifungal medication used to treat vaginal yeast infections and fungal nail infections.[1][2] It is applied to the site of infection.[1][2] For nails, it may be used for 6 to 12 months.[2]
Common side effects include burning, itching, and headache.[1] It is in the imidazole class and believed to work by affected the fungal cellular membrane.[1]
Tioconazole was patented in 1975 and approved for medical use in 1982.[3] It is available as a generic medication and over the counter.[2][1] In the United Kingdom a bottle of the medication for us on the nails costs the NHS about £28 as of 2021.[2] In the United States a single dose for in the vagina costs about 10 USD.[4]
Side effects
Side effects of vaginal tioconazole may include temporary burning itching, or irritation of the vagina. Vaginal swelling or redness, difficulty or burning during urination, headache, abdominal pain, and upper respiratory tract infection have been reported by people using tioconazole.[5] These side effects may be only temporary, and do not normally interfere with the patient's comfort enough to outweigh the end result.
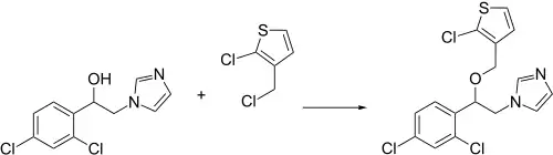
Synthesis
Antimycotic imidazole derivative.

A displacement reaction between 1-(2,4-dichlorophenyl)-2-(1H-imidazol-1-yl)ethanol and 2-chloro-3-(chloromethyl)thiophene is performed.
References
- ↑ 1.0 1.1 1.2 1.3 1.4 1.5 1.6 1.7 "Tioconazole Monograph for Professionals". Drugs.com. Archived from the original on 5 August 2019. Retrieved 4 October 2021.
- ↑ 2.0 2.1 2.2 2.3 2.4 2.5 BNF (80 ed.). BMJ Group and the Pharmaceutical Press. September 2020 – March 2021. p. 1299. ISBN 978-0-85711-369-6.
{{cite book}}: CS1 maint: date format (link) - ↑ Fischer J, Ganellin CR (2006). Analogue-based Drug Discovery. John Wiley & Sons. p. 503. ISBN 9783527607495. Archived from the original on 2017-09-10. Retrieved 2021-01-25.
- ↑ "Compare Tioconazole Prices - GoodRx". GoodRx. Archived from the original on 18 June 2025. Retrieved 4 October 2021.
- ↑ "VAGISTAT-1 Print Label" (PDF). Food and Drug Administration. 6 February 1997. Archived (PDF) from the original on 1 March 2017. Retrieved 25 January 2021.
- ↑ BE 841309, Gymer GE, issued 1976, assigned to Pfizer
- ↑ US 4062966, Gymer GE, issued 1977, assigned to Pfizer
External links
| Identifiers: |
|---|
